Σε ανάκληση παρτίδων ενδοφθάλμιων φακών, λόγω περιστατικών συνδρόμου τοξικού πρόσθιου τμήματος, προχώρησαν οι υπεύθυνοι του Εθνικού Οργανισμού Φαρμάκων (ΕΟΦ).
Σε σημερινή ανακοίνωση του Οργανισμού αναφέρονται τα ακόλουθα:
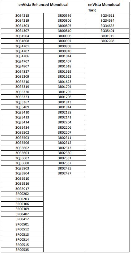
Αποφασίζουμε την ανάκληση των παρτίδων του συνημμένου πίνακα, Ιατροτεχνολογικών προϊόντων, κατηγορίας MDD Class IIb, enVista Enhanced Monofocal MX60E και enVista Monofocal Toric MX60ET (μονοεστιακούς ενδοφθάλμιους φακούς λόγω αυξημένου αριθμού αναφορών συνδρόμου τοξικού πρόσθιου τμήματος, κατά την χρήση του προϊόντος.
Η παρούσα απόφαση αποτελεί προληπτικό μέτρο με σκοπό να ενισχύσει την εθελοντική ανάκληση στην οποία έχει προβεί ήδη η εταιρεία.
Η εταιρεία ΑΝΑΣΤΑΣΙΟΣ ΜΑΥΡΟΓΕΝΗΣ ΑΕ , οφείλει να επικοινωνήσει άμεσα με τους αποδέκτες του και να αποσύρει τους συγκεκριμένους κωδικούς από την αγορά.
Τα παραστατικά της ανάκλησης πρέπει να τηρούνται για διάστημα τουλάχιστον πέντε (5) ετών και να τίθενται υπόψη του ΕΟΦ, εφόσον ζητηθούν.

Ειδήσεις υγείας σήμερα
Μητσοτάκης: Επιστρέφονται δύο ενοίκια σε γιατρούς, νοσηλευτές που υπηρετούν στην επαρχία
Το ΜέΡΑ25 ζητά και προτείνει λύσεις για το Γενικό Νοσοκομείο Ξάνθης
Σημαντική επιστημονική διάκριση για το πρόγραμμα ‘’Parent2Parent Support’’ της ΑμΚΕ Καρκινάκι